Les ports pour petits bateaux en Colombie-Britannique : ils présentent des avantages substantiels pour l'économie, les Premières Nations et les communautés côtières.
Pour obtenir une copie complète de ce rapport, veuillez nous contacter.
Rapport final
Préparé pour
Canada Pêches et Océans
Vancouver, Colombie-Britannique
Préparé par :
GSGislason & Associés Ltée.
Vancouver, Colombie-Britannique
Date du rapport : 9 mars 2021
Résumé
Contexte
-
Le programme des ports pour petits bateaux (PPB) comprend 94 ports de pêche le long de la côte de la Colombie-Britannique :
-
- 82 ports gérés par 57 administrations portuaires (AP) ; et
- 12 ports supplémentaires sous la responsabilité du MPO.
- Le programme PPB joue un rôle important dans l'économies et le tissu social des communautés côtières.
Objectifs et approche de l'étude
- Objectifs
- évaluer les impacts économiques du réseau de petits ports de pêche (PPB) à l'échelle de la province, et
- décrire les avantages qu'offre le réseau d'installations aux communautés et les avantages inc. aux Premières Nations
- Approche
- programme d'entrevues avec 20 personnes des administrations portuaires et de l'industrie de la pêche (y compris des entrevues avec des organisations des Premières Nations)
- analyse des décomptes de bateaux, des états financiers et d'autres informations sur les PPB, examen des rapports existants.
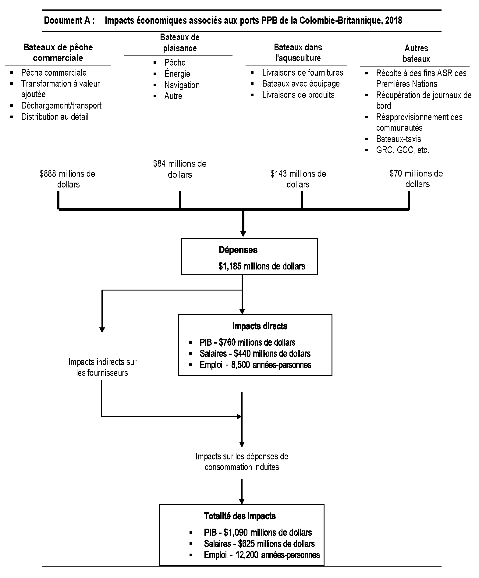
Impacts économiques (document A suivant) (document At suivan)
- Dépenses de 1 185 millions de dollars associées aux 94 ports de pêche PPB pour 2018 -
- Pêche commerciale: 888 millions de dollars
- Aquaculture: $143 million
- Navigation de plaisance : 84 millions de dollars et autres
- 70 millions de dollars.
- Revenus des installations portuaires des PPB de 18,5 millions de dollars 15,1 millions de dollars d'exploitation plus 3,4 millions de dollars du MPO et autres.
- Chaque dollar de revenu provenant des installations portuaires des PPB est associé à 64 $ provenant des ventes de l'industrie.
- Totalité des impacts, y compris les impacts directs et indirects des fournisseurs et les dépenses induites des consommateurs liées à l'économie. Les activités liées aux installations des PPB sont voir le document A page suivante):
- 1 090 millions de dollars en produit intérieur brut (PIB) ;
- 625 millions de dollars en salaires et avantages sociaux et 12 200 années-personnes d'emploi.
- La majorité des retombées économiques découlent de la pêche commerciale, de la transformation et de la vente au détail, alors que la majorité des revenus de l'administration portuaire provient des plaisanciers.
Premières Nations et avantages communautaires (document B ci-dessous)
- Les ports PPB jouent un rôle important pour les événements et les activités communautaires.
- Les ports PPB permettent aux résidents des communautés autochtones et non autochtones éloignées de se rendre dans les communautés centrales pour rendre visite à des amis et à des familles, obtenir des services et des fournitures, consulter un médecin, assister à des événements, etc.
- Les ports PPB offre des avantages significatifs en termes de bénévolat, par exemple les conseils d'administration, les comités, les projets de l'administration portuaire.
- L'autonomie communautaire est renforcée et les partenariats communautaires sont encouragés.
- La sécurité maritime est promue avec une capacité d'intervention d'urgence.
- Les ports PPB font partie de l'identité des communautés côtières et contribuent à la qualité de vie.
- Des avantages importants profitent aux Premières Nations : revenus des entreprises, salaires, emplois et opportunités de récolte à des fins ASR.
- Sans les installations de PPB, le gouvernement ne pourrait pas atteindre ses objectifs et ses engagements en matière de réconciliation et d'augmentation des opportunités économiques pour les Premières Nations grâce à l'accès à la pêche.
- Il n'existe aucune autre installation portuaire qui pourrait remplacer ou remplacer le réseau d'installations de PPB.
Document A : Impacts économiques associés aux ports PPB de la Colombie-Britannique, 2018
Document B : Avantages pour les Premières Nations et les communautés que présente le réseau de ports pour petits bateaux
- Stimulation de l'économie locale
- Emplois « activités à quai », revenus inc. des opérations de pêche
- Des opérations de pêche AP et des fournisseurs sous contrat
- Épicerie, autres achats de fournitures par bateaux en activité
- Visite touristique
- Avantages pour les Premières NationsFootnote 1
- Pêches commerciales, notamment l'IPCFI
- Possibilités de pêche et de chasse à des fins ASR
- Événements culturels, par exemple cortèges funéraires, courses de canoë
- Accès aux cimetières ancestraux
- Service essentiel aux voyages intercommunautaires inc.
- Visite à des amis et à des parents
- Fournitures aux communautés isolées, par exemple bois d'œuvre, produits d'épicerie
- Accès aux écoles et à l'éducation, rendez-vous médicaux
- Événements et activités communautaires
- Course de yachts Van Isle 360
- « Fête des Lumières » à Noël
- Vente de harengs « Kids for Cancer » (Steveston)
- Festivals des crevettes (p. Ex. False Creek et la baie de Cowichan)
- Clubs de voile pour enfants (ex. Baie de Fanny)
- Festivals de musique
- « faire marcher les flotteurs »
- Sécurité et capacité d'intervention d'urgence
- Refuge sécurisé
- Stations de recherche et de sauvetage (SRA) de la garde côtière
- Intervention en cas d'urgence sur l'eau, par exemple en cas de naufrage d'un navire de BC ferries ou de naufrage d'un bateau d'observation des baleines de Tofino
- Renforcement de l'autonomie communautaire
- Planification communautaire et partenariats
- Impliquer une plus grande communauté
- Bénévolat
- Période de bénévolat important et philosophie
- Date de modification :